Singly-Excited Machines (Nature of Excitation Currents)

In the former post of singly-excited machines, some elementary machines were studied where their self inductances were functions of the rotor position and would change periodically with the rotor rotation.

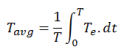
Now we study the conditions under which the currents ij and ik must change in time so that not only the instantaneous but also the average value of Tem becomes large enough.

We start with the electromagnetic torque equation presented here and consider it for a single-winding machine. In that equation, the self-inductance of the single winding L11 was a periodic function of the angular position of the rotor. To have a constant unidirectional energy conversion, the currents time variations must lead to a non-zero average of the electromagnetic torque. As the currents are periodic, we just need to calculate the torque averaged over a period:
Tavg          (1)

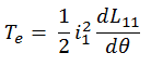
From the electromagnetic torque equation, for a singly-excited machine, we have j = k = 1, and the electromagnetic torque developed by that machine would be:
Singly_T          (2)

As you remember the time period of self-inductance change in a singly-excited machine was:
T = 2π / (Z. ωm) = 2π / ω
ω = ZR . ωm          (3)

Remembering that the self-inductance in singly-excited machines had a non-zero average and considering only the main harmonic of L11, the self-inductance equation must have a general form like:
L11 = L110 + L11m . cos(ω.t)          (4)

L110 is the non-zero average of the self-inductance and ω is its angular velocity. The derivative of the self-inductance with respect to the angular position of the rotor would be:

dL11/dθ = (dL11/dt) . (dt/dθ) = – L11m. ω . sin(ω.t). (1/ωm)

From equation (3):

dL11/dθ = – L11m. ZR . sin(ω.t)          (5)

As we assumed, in a real-world machine the current in the winding must be alternative. Using Equation (1), we see that if the winding carries a constant current, the mean torque Tavg would be zero. Focusing on the fundamental component of the current which develops the largest mean electromagnetic torque, the general equation would be of the shape:
i1 = I1m . cos(ω1.t + φ)          (6)

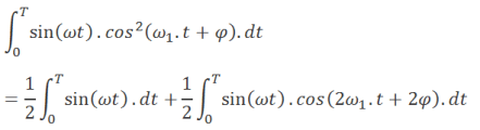
We have to find those values of ω1 and φ that make Tavg maximum. Using (2), (5) and (6), the mean torque Tavg is equal to:
Tavg_          (7)

After some trigonometric manipulations in the integrand, it is reduced to:
Tavg_1          (8)

The first term is a sinusoidal function and has a zero average. The second term can be rewritten as:
Tavg_2          (9)

To have a unidirectional energy conversion, this equation must average to a non-zero number and it will happen only when ω – 2ω1 = 0 which gives the value of ω1 as:
ω1 = ω / 2          (10)

This means that, the frequency of the current is half the frequency of the self-inductance. From equation (2), the torque is proportional to the square of current which has the same frequency as the self-inductance.

Tavg = (L11m . Z. I21m/8) . sin(2φ)          (11)

For φ = ±π/4, the average developed torque is maximum.

Therefore, for a unidirectional energy conversion, a singly-excited machine must be fed by a current at an angular frequency ω1 equal to half the angular frequency of the changes in the self-inductance:
ω1 = ω / 2 = ZR . ωm / 2          (12)

The direction of energy conversion depends on the phase angle of φ. When φ = π/4, the machine will be operating as a motor. When φ = -π/4, it will be operating as a generator. The angular velocity of the machine is proportional to the angular frequency of the current in the winding connected to the electrical system:
ωm = 2.ω1 / ZR          (13)

When the angular velocity of an electric machine is proportional to the angular frequency of the flowing current in its winding, it is called a synchronous machine otherwise it is called an asynchronous one.
From equation (13) it follows then that all singly-excited machines are synchronous machines.

This entry was posted in Electric Machines. Bookmark the permalink.

Leave a comment